- 聯系我們
- 內 貿 部:0632-5228899 18806325904
外 貿 部:0632-3671188 17763266218
采 購 部:0632-7663999 18663267979
人力資源:0632-7683555
郵箱:kr@krwater.com
官 網:http://m.techan22.com
地址:山東省棗莊市薛城區薛城化工產業園府前路路南1號
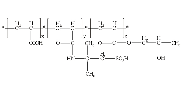
Carboxylate-Sulfonate-Acrylate Terpolymer
- 結構式

- 一、性能與用途:
- AA/AMPS/HPA三元共聚物是一種新型的含有磺酸鹽的多元聚電解質阻垢分散劑。由于在共聚物的分子鏈上同時含有強酸、弱酸與非離子基團,它適用于高溫、高pH、高硬與高堿條件下使用,AA/AMPS/HPA具有較高的鈣容忍度,對水中的碳酸鈣、磷酸鈣、鋅垢以及氧化鐵的沉積,具有優良的抑制作用,并且分散性能優良。與聚磷酸鹽、鋅鹽,有機膦酸鹽等常用水處理劑配伍性能良好,尤其是可與鋅鹽大劑量復配,穩鋅率高,從而提高了藥劑對碳鋼的緩蝕率;已被廣泛用于鋼鐵、石化、電力、油田等行業的復雜水質的處理中。
- 二、技術指標
| 項 目 |
指 標 |
| 外 觀 |
無色至淺黃色透明液體 |
| 固體含量 %
| ≥30.0 |
| 密度(20℃)g/cm3 |
≥1.10 |
| pH(1%水溶液) |
2.0-4.0 |
- 三、使用方法
- AA/AMPS/HPA三元共聚物應用于冷卻水中,用量視不同水質條件而定,一般使用濃度為10~30mg/L。其它行業做分散劑使用時,根據試驗確定用量。
- 四、包裝與貯存
- AA/AMPS/HPA三元共聚物用塑料桶包裝,每桶25kg或200kg,或根據用戶需求確定。貯于室內陰涼處,貯存期為十二個月。
- 五、安全防護
- AA/AMPS/HPA三元共聚物為弱酸性,操作時注意勞動保護,應避免與皮膚、眼睛等接觸,接觸后用大量清水沖洗。