- 聯系我們
- 內 貿 部:0632-5228899 18806325904
外 貿 部:0632-3671188 17763266218
采 購 部:0632-7663999 18663267979
人力資源:0632-7683555
郵箱:kr@krwater.com
官 網:http://m.techan22.com
地址:山東省棗莊市薛城區薛城化工產業園府前路路南1號
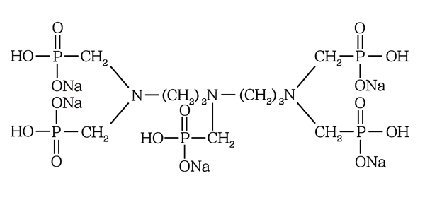
Diethylene Triamine Penta (Methylene Phosphonic Acid) Pentasodium Salt (DTPMP?Na5)
- CAS No. 68155-78-2
- 分子式 C9H23O15N3P5Na5 相對分子質量:683.2
- 結構式

- 一、性能與用途:
-
DTPMP?Na5(二乙烯三胺五甲叉膦酸五鈉)是一種中性產品,無毒;在水處理中用作循環冷卻水和鍋爐水的阻垢緩蝕劑。
-
DTPMP?Na5可用做過氧化物穩定劑、紡織印染用螯合劑、顏料的分散劑、化肥中微量元素攜帶劑、混凝土添加劑。此外,在造紙、電鍍和化妝品等方面也得到了廣泛應用。
- 二、技術指標
| 項 目 |
指 標 |
| 外 觀 |
紅棕色液體 |
| 活性組分(以DTPMPA計) % |
24.0-26.0 |
| 活性組分(以DTPMP?Na5計) % |
28.5-31.0 |
| 氯化物 (以Cl-計) % |
≤5.0 |
| 鐵(以Fe2+)含量mg/L |
≤20.0 |
| 密度(20℃)g/cm3 |
≥1.25 |
|
pH值(1%水溶液) |
6.0-8.0 |
- 三、包裝與貯存
-
DTPMP?Na5用塑料桶包裝,每桶25kg或250kg,或根據用戶需求確定。貯于室內陰涼干燥處,防潮,貯存期為十個月。
- 四、安全防護
- DTPMP?Na5為中性,操作時注意勞動保護,應避免與皮膚、眼睛等接觸,接觸后用大量清水沖洗。